Ja çfarë fiton Kosova nga FIFA për barazimin me Danimarkën

Ja çfarë fiton Kosova nga FIFA për barazimin me Danimarkën

Mbrëmë, Kosova barazoi me rezultat 2:2 në ndeshjen ndaj Danimarkës. Por, “Dardanët” kishin qenë shumë afër sigurimit të fitores në këtë ndeshje miqësore, për shkak të paraqitjes fantastike ndaj skuadrës daneze.

Edhe pse vetëm barazim, Kosova i fiton 3.6 pikë nga kjo ndeshje, të cilat bashkë me pikët e fituara nga ndeshja e së hënës kundër Bullgarisë do t’i shtohen pikëve totale dhe “Dardanët” mund të ngrihen përsëri në ranglistën e FIFA-s.

Sipas rregullave të reja të FIFA-s për këtë ranglistë, ndeshjet miqësore kanë më pak vlerë sesa ato me karakter garues. Në numrin e pikëve të fituara nga secila ndeshje ndikon edhe niveli i kundërshtarit.

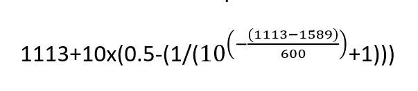
Kosova për momentin është e radhitur në pozitën e 130-të, me 1113 pikë, ndërsa Danimarka është e radhitur në pozitën e dhjetë, me 1589 pikë. Ky dallim është i rëndësishëm për algoritmin e FIFA-s.

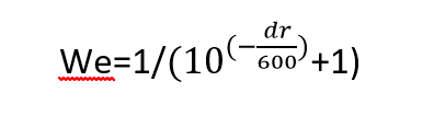
Algoritmi i FIFA-s i grumbullon pikët sipas algoritmit të paraqitur më poshtë:

P=Pmëparshme+R*(W-We)

Me shkronjën P shënohet numri i pikëve total.

Pmëparshme – Pikët në ranglistën e FIFA-s, para fillimit të kësaj ndeshjeje

– Rëndësia e ndeshjes

  • R=5 për ndeshjet miqësore jashtë kalendarit të ndeshjeve ndërkombëtare
  • R=10 për ndeshjet miqësore brenda kalendarit të ndeshjeve ndërkombëtare
  • R=15 për ndeshjet e fazës së grupit në Ligën e Kombeve
  • R=25 për ndeshjen eliminatore dhe të play-offs në Ligën e Kombeve
  • R=25 për ndeshjet kualifikuese në garat e konfederatave dhe për kualifikim në Kupën e Botës
  • R=35 për ndeshjet e fazës eliminatore në garat e konfederatave deri në fazën çerekfinale
  • R=40 për ndeshjet e fazës eliminatore në garat e konfederatave pas fazës çerekfinale
  • R=50 për ndeshjet e Kupës së Botës deri në fazën çerekfinale
  • R=60 për ndeshjet e Kupës së Botës pas fazës çerekfinale

– Rezultati i ndeshjes

  • Fitore=1; Barazim=0.5; Disfatë=0

We – Rezultati i pritur e ndeshjes

dr– diferenca në rangim mes dy skuadrave

Në rastin e Kosovës, Danimarka i ka 1589 pikë të grumbulluara, ndërsa Kosova i ka 1113. Këtë herë, formula duket si më poshtë:

Rezultati i kësaj formule tregon se Kosova i fiton 3.6 pikë nga kjo ndeshje, ndërsa Danimarkës i zbriten po kaq pikë.

Ndeshja kundër Bullgarisë do të jetë shumë më e rëndësishme për Kosovën pasi që aty skuadra e Challandes do ta nisë rrugëtimin drejt kualifikim në EURO 2020.

Kjo ndeshje, e cila do të zhvillohet të hënën, do të ketë shumë më shumë rëndësi edhe për rangimin e Kosovës në FIFA pasi që rëndësia e ndeshjes vlerësohet me 25 pikë, në krahasim me 10 pikëshin e ndeshjes me Danimarkën.

Nëse Kosova fiton në këtë ndeshje, ajo do t’i fitojë mjaft shumë pikë, pasi që edhe Bullgaria ka rangim mjaft të mirë në FIFA. Ajo radhitet në pozitën e 48-të, me gjithsej 1425 pikë të grumbulluara

Shpërndaje në: